



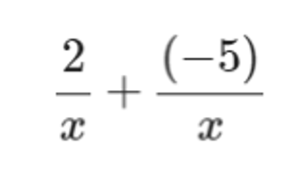
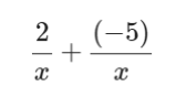
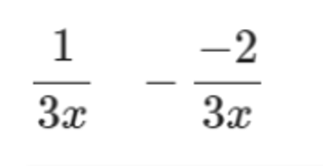
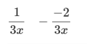
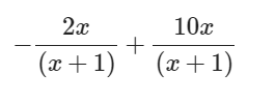
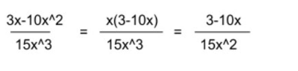
When subtracting rational expressions with like denominators, subtract the numerators and keep the denominator the same.

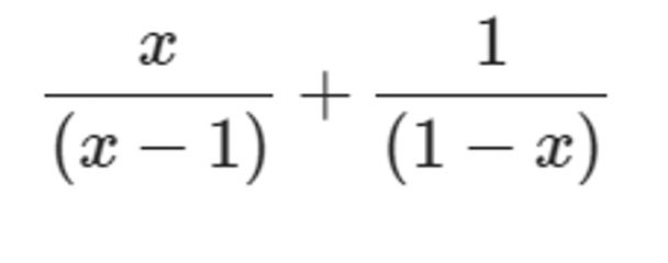
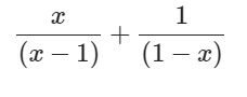
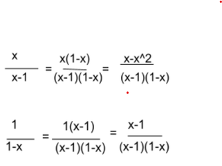
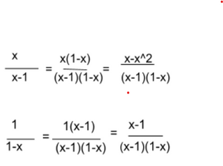
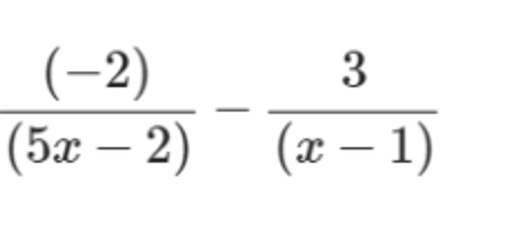
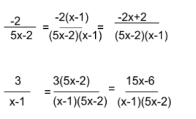
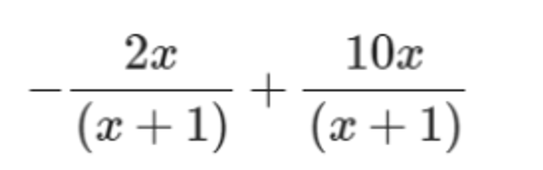
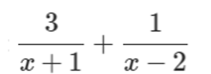
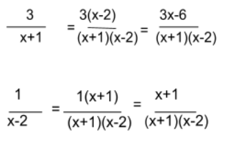
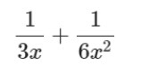
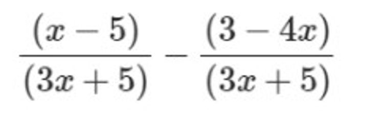
Subtracting Rational Expressions With Unlike Denominators:


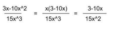
The difference in this example is:

Sample Math Problems





Loading…
Why is this concept useful?
Where does this concept fit into the curriculum?
Does your child struggle with math homework or understanding tricky math concepts? Do they do okay in math, but express excitement to learn new material or advanced math?
A Thinkster Math tutor provides one-to-one support to help elementary, middle school, and high school students build confidence and master math subjects like K-8 math, pre-algebra, algebra, geometry, calculus, and more.
Our expert math tutors customize math lessons to your child’s unique needs, making learning math fun and effective. We help students improve grades, develop strong critical thinking skills through solving word problems, excel in standardized tests, and develop strong problem-solving skills.
Our expert math tutors are ready to help make your child a champion and develop strong math mastery! Sign up for our 7-day free trial and get the best math tutor for your child today!
Start 7-Day Free Trial












Take advantage of our free downloadable resources and study materials for at-home learning.

One thing we teach our students at Thinkster is that there are multiple ways to solve a math problem. This helps our students learn to think flexibly and non-linearly.
Get PDF
As a parent, you hope your child is extremely successful and likely become the next Gates, Zuckerberg, or Meg Whitman. To set your child on the right path, there are many skills and traits that you can start building and nurturing now. Doing so plants the seeds for future success.
Get PDF





