What is a rational expression? A rational expression is a fraction made up of polynomials. Both the numerator and the denominator will be a polynomial.
How to multiply and divide rational expressions?
Multiplying Rational Expressions:
When multiplying rational expressions there are 3 main steps:
- Multiply the numerators.
- Multiply the denominators.
- Rewrite as a rational expression and simplify when possible.
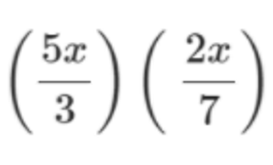
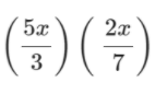
Let’s look at an example:
In the example, below, we will first multiply the numerators

The numerators are 5x and 2x.
(5x)(2x)= 10x².
Next multiply the denominators.
The denominators are 3 and 7.
3x7=21.
Now rewrite this as a rational expression.
Our product will be:
This can not be simplified any further, so this is the final answer.
Dividing Rational Expressions:
When dividing rational expressions there are 4 main steps:
- Multiply the first expression times the reciprocal of the second expression (Just like dividing fractions).
- Multiply the numerators.
- Multiply the denominators.
- Rewrite as a rational expression and simplify when possible.
Let’s look at an example:
In the example, below, we will first multiply the first expression times the reciprocal of the second expression:
When we rewrite with the reciprocal it becomes:
Now we need to multiply the numerators. The numerators are 5 and 1.
(5)(1)= 5
Next multiply the denominators.
The denominators are (x+3) and (x+3).
(x+3)(x+3)= x²+3x+3x+9= x²+6x+9
Now rewrite this as a rational expression.
Our quotient will be:
This can not be simplified any further.
Sample Math Problems
Question
Find the product.


