How can we use the concept:
Graphing a logarithmic function
Log functions can have many bases. To graph a log function, we need to know how the exponential is related to the log function: We use the following rule to convert between exponential functions and log functions.

Where b is the base of the exponential equation and the logarithmic function.
If there is no number written for “b” as the base in the log function, then we assume base 10. If we are to graph the function, we convert the function from the logarithmic form to exponential form. We can then use this equation to create a table of values where we are substituting numbers in for the y-value.
Below is a list of basic properties of log functions, where x and y are real numbers and x>0

A special number used with exponential functions is represented by the letter “e”. This is a number, similar to how the symbol pi works, but represents (rounded) about 2.7. The inverse to the exponential whose base is “e” is natural log, or ln.

Below is a list of basic properties for natural log.

There may be times that you need to simplify logarithmic functions by either expanding them or condensing them. We use the following properties to do this.
Let b, R, and S be positive real numbers where b ≠1 and c any real number.

These properties can also be used for natural log functions.
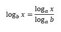
There may be cases where the log function you are working with has a difficult base. We can use a change of base formula to change it into something that is easier to work with.
For positive numbers a, b, and x, with a≠1 and b≠1.

Sample Math Problems
1. Graph the log function.

To graph a log function, we rewrite the function as an exponential function, then substitute it for the y-values as we would have for the x’s in other functions.

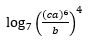
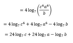
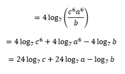
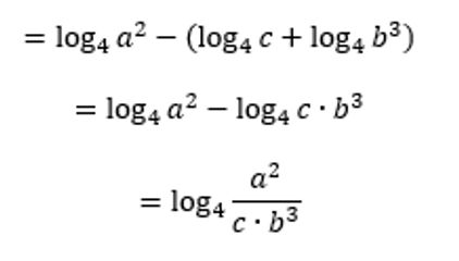
2. Expand or condense the given log function using function rules
a. Expand

The function is considered fully expanded when there are no products, quotients, or exponents remaining

b. Condense

The function is considered fully condensed when a single log function of each base exists. If there are multiple bases, we cannot combine these.

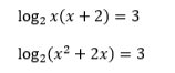
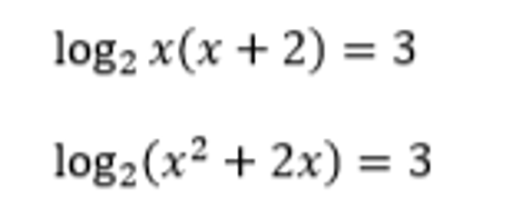
3. Solve the equation.

When solving an equation, if you get to the point that you cannot evaluate, you can convert to the equivalent exponential function. Start by condensing into a single log function.











