How can we use the concept:
Parametric equations introduce a third variable t for the parameter and use this to define x and y. The variable t is used because it often specifies the interval of time in these equations. You can then use this to help define the equation. For example, you can say at t = “amount” the position of “object” is “ordered pair”.
When working with equations, you have used a process to sketch functions where you:
- Choose the x value
- Use a function f to find y i.e. y = f(x)
- Plot the point (x,y)
You have often used a table of values for this process.
The same can be done with parametric equations, but you need to add that t value for the parameter of the shape (again, a curved shape). We will discuss this strategy further in our solved examples. We will also look at a strategy where we remove the parameter.
The graph of parametric equations can cross over itself which can be a question seen in problem sets.
You can also describe parametric equations with boundaries such as studying when an object would hit the ground - the graph of that parametric equation would continue beyond x = 0 but you would have no interest in that data because your object has hit the ground.
If you are asked questions regarding boundaries such as t >2. This would affect the values in your table - you would only choose values greater than 2. You can also see boundaries such as -3 < t < 1which would again, dictate which values you can use for t in your table.
Some tips:
- I have a graphing calculator ready and plot my points as I go.
- If I feel I have missing data, I can add points into the table to gain more information.
Sample Math Problems
Question
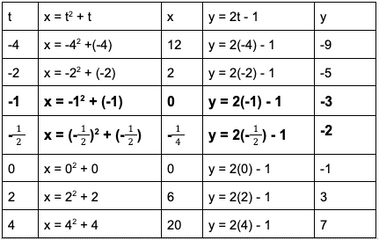
Sketch the parametric curve for the following equations.
x =
y = 2t - 1
Answer
Strategy 1: Using a table of values to sketch the graph.
You are going to use a table to choose t values and then solve. There isn’t a strict rule on how many t values to use but you must use enough to get a good idea of the sketch of the curve.

At this point I graph my points and sketch my curve.

You will notice from here that you can gain basic knowledge of the curve but the points I chose didn’t quite define the vertex, so I can always go back to my table and add a few more values for t.


This sketch provides us with more information regarding the vertex.
Strategy 2: Eliminate the parameter.
x =
y = 2t - 1
For this strategy we need to solve one of the equations for t and then substitute that into the other equation.
In this case, solving for t in y equation is not very difficult.
y = 2t -1
y + 1 = 2t move the constant using inverse operations
Now we can plug this into the x equation.
x =
x = (
x =
From here, to sketch a graph you would use an xy table and substitute values in to get your ordered pairs.
Question
Sketch a graph of the following parametric equations.
x = 4 -
y = 2 + 4t
Answer
- I am using a table for this example.
Step 1: Choose t values.
Step 2: substitute into your equations to get your x and y values.
Step 3: plot your ordered pairs on a graph and sketch your curve.


If you are asked questions regarding boundaries such as t >2. This would affect the values in your table - you would only choose values greater than 2.
Question
Sketch the parametric curve for the following equations.
x = t
y =
Answer


Question
Sketch the parametric curve for the following equations.
x = 120t
y =64t -
Answer




